Data panel adalah suatu tipe data longitudinal atau data yang dikumpulkan dari poin-poin berbeda dalam waktu.
Tiga tipe dari data longitudinal:
Banyak observasi (t kecil) dari sedikitnya satu unit (N kecil). Contoh: tren harga saham, statistik nasional agregat.
Dua atau lebih sampel independen dari banyak unit-unit (N besar) diambil dari populasi yang sama dalam periode waktu yang berbeda. Contoh: Survai Sosial Umum, Survai Penduduk.
Dua atau lebih observasi (t kecil) dari banyak unit (N besar). Contoh: Survai panel pada rumah tangga dan individu, data organisasi dan firma di poin waktu yang berbeda.
Penjelasan ini merupakan pengenalan dasar untuk analisis data panel. Pada intinya akan dibahas model linier komponen error.
Kita tertarik untuk mendeskrisikan perubahan antar periode waktu
Kita menginginkan tren superior estimate dari fenomena sosial
Kita menginginkan untuk mengestimasi model kausal
Dasar dari metode panel paling tidak membutuhkan dua “gelombang” pengukuran. Seperti mempertimbangkan antara IPK mahasiswa dan jam kerja selama dua semester.
Salah satu cara untuk mengorganisir data panel adalah membuat salinan dari setiap kombinasi unit dan periode waktu:

Atau menggunakan format melebar:

Teknik estimasi dari data panel
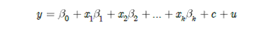
Persamaan
![]()
Estimasi Least Square dari model panel biasanya meliputi 3 tahapan:
Estimasi parameter biasanya diperhalus menggunakan iterasi terboboti least square (IRLS), suatu maksimum likelihood estimator.
![]()
Asumsikan bahwa model linier sesuai dan kovariat merupakan eksogenus

Jika asumsi tidak terpenuhi, OLS bias dan atau tidak efisien
Bias yaitu nilai harapan dari estimasi parameter berbeda dengan sebenarnya.
Konsistensi, jika estimator tidak bias, atau jika bias menciut seiring dengan membesarnya ukuran sampel, kita sebut itu KONSISTEN.
Tidak efisien yaitu estimasi kurang akurat seiring dengan meningkatnya ukuran sampel
OLS bias disebabkan karena Endogenitas
Penghilangan variabel bias : seleksi, variabel intervening dipertimbangkan ada atau tidaknya
Pengukuran error pada kovariat
Bias Simultan : feedback loops, penghilangan variabel
Strategi konvensional berbasis regresi untuk mengatasi bias endogenitas:
Ketidakefisienan OLS karena Error Berkorelasi
Strategi konvensional berbasis regresi untuk mengatasi korelasi residual

Anggap data terletak di setiap unit cross sections pada periode waktu T:
Atau dalam vektor :


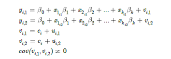
Untuk perbandingan, dimulai dengan dua model regresi linier OLS konvensional, masing-masing untuk setiap periode. Catat bahwa variable female highgpa (HS GPA) invarian dalam waktu (time-invariant).

Motivasi: Heterogenitas Unobserved
Anggap kita mempunyai model dengan variabel unobserved time-constant, c:

Dimana u tidak berkorelasi dengan semua variabel penjelas di x.
Karena c tidak terobservasi maka c terserap ke error, jadi dapat ditulis

Jika unobserved heterogenity ci berkorelasi dengan satu atau lebih variabel penjelas, estimasi OLS bias dan tidak konsisten.
Jika unobserved heterogenity ci tidak berkorelasi dengan variabel penjelas di x, OLS tidak bias bahkan dalam satu runtun cross sections
Jika kita memiliki lebih dari satu observasi di unit-unit, error akan berkorelasi dan estimasi OLS tidak efisien

Anggap data ada pada setiap unit cross section atas periode waktu T. Ini adalah unobserved effect model (UEM), disebut juga model komponen error. Kita bisa tuliskan model untuk setiap periode waktu:

Dimana ada T observasi pada outcome y per individu i,
Xit adalah vektor dari variabel penjelas diukur pada waktu t
Ci adalah unobserved heterogenity dalam semua periode tetapi konstan dalam waktu
Uit adalah error istimewa yang time-varying
Jika kita asumsikan tidak ada korelasi kontemporer dari error dan variabel penjelas, estimasi Pooled OLS konsisten:
![]()
Walaupun estimasi konsisten, pooled OLS bisa jadi tidak efisien.
Salah satu cara dengan mengkombinasikan pooled OLS dengan cluster-consistent standard error
Metode Panel GLS dipertimbangkan sebagai pilihan

Sumber:
Professor Patricia A. McManus. Introduction to Regression Models for Panel Data Analysis :Indiana University.
Workshop in Methods. October 7, 2011
Artikel Lainnya
Jl. Leli 1 No.132, Depok Jaya, Kec. Pancoran Mas, Kota Depok, Jawa Barat 16432
Anda butuh jasa olah data skripsi, tesis, konsultasi statistik dan pelatihan statistik?
Hubungi kami melalui media sosial kami atau
Phone : 081284285867
Email : mail@scsidepok.org
© Copyright 2016. Statistics Center. All Right Reserved.